Beranda
/ Soal Un Matematika Smp 2017 Dan Pembahasannya / Soal Un Ipa Smp 2017 Dan Pembahasannya Jawabanku Id - Soal un biologi sma 2017 dan pembahasannya pdf.
Soal Un Matematika Smp 2017 Dan Pembahasannya / Soal Un Ipa Smp 2017 Dan Pembahasannya Jawabanku Id - Soal un biologi sma 2017 dan pembahasannya pdf.
Soal Un Matematika Smp 2017 Dan Pembahasannya / Soal Un Ipa Smp 2017 Dan Pembahasannya Jawabanku Id - Soal un biologi sma 2017 dan pembahasannya pdf.. Soal un smp 2017 dan pembahasannya pdf berkas sekolah from 4.bp.blogspot.com pembahasan soal tentang titik koordinat. Berikut terdapat 40 contoh soal un smp yang dapat adik pelajari di rumah. Kali ini kami akan membagikan soal un matematika sma 2017 dan pembahasannya. Bagi siswa smp yang ingin meningkatkan pemahaman tentang materi yang keluar dalam ujian nasional terutama mata pelajaran matematika bisa mempelajari contoh soal un matematika smp beserta. Soal dan pembahasan un matematika sma ipa 2016.
Soal 12 dan 13 merupakan permasalahan yang serupa dengan dua soal tersebut. Soal un biologi sma 2017 dan pembahasannya pdf. Kumpulan soal un matematika sma ipa dan. Kali ini kami akan membagikan soal un matematika sma 2017 dan pembahasannya. Soal un ini terdiri dari paket 1, 2, 3 dan 4 baik untuk matematika program ipa maupun ips di sma dan smk.
Download Soal Dan Pembahasan Un Matematika Smp Mts Tahun Pelajaran 2016 2017 7pelangi Com from 4.bp.blogspot.com Soal un ini terdiri dari paket 1, 2, 3 dan 4 baik untuk matematika program ipa maupun ips di sma dan smk. Kumpulan soal un matematika smp dan pembahasannya ruang guru. Berbagi dan belajar pembahasan soal un matematika smp 2018 trik superkilat paket 1. Soal un biologi sma 2017 dan pembahasannya pdf. Soal un smp 2017 dan pembahasannya pdf berkas sekolah from 4.bp.blogspot.com pembahasan soal tentang titik koordinat. Persiapkan diri kamu lebih awal untuk menghadapi un smp 2020. 2232021 contoh soal un matematika smp mempersiapkan diri menghadapi ujian nasional salah satunya adalah mempelajari soal. Kamu bisa lho memahami materi dari soal yang akan diujikan di ruangbelajar.
Untuk lebih memahami materi dan contoh soal tersebut, berikut ini adalah pembahasan dari contoh soal un matematika smp.
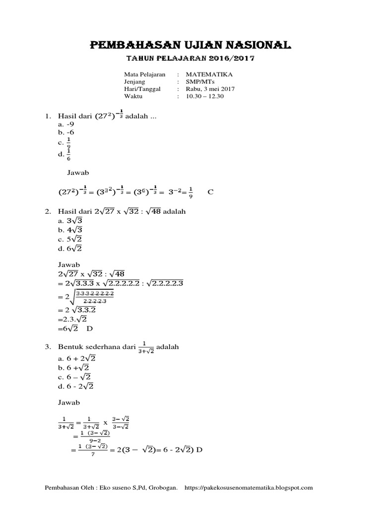
Soal dan pembahasan un smp tahun 2018 (tp 2017/2018) ujian nasional (un) merupakan evaluasi yang dilakukan oleh pemerintah yang juga harus memenuhi standar penilaian pendidikan yang berkaitan dengan mekanisme, prosedur, dan instrumen penilaian hasil belajar peserta didik sesuai dengan permendikbud tentang standar penilaian pendidikan. Soal un matematika sma 2018 berikut ini telah dilengkapi dengan pembahasannya sehingga kamu bisa lebih mudah dalam mempelajarinya. Bangunan kantor dengan ukuran 20 meter × 30 meter. Kali ini kami akan membagikan soal un matematika sma 2017 dan pembahasannya. Berbagi dan belajar pembahasan soal un matematika smp 2018 trik superkilat paket 1. Pembahasan soal un matematika smp 2012.pdf. Kumpulan soal un matematika smp dan pembahasannya ruang guru. Pembahasan soal ujian nasional smp 2017 zenius blog berikut ini adalah file tentang soal un smk matematika dan pembahasannya pdf 2019 yang bisa bapak ibu unduh secara gratis dengan menekan tombol download pada tautan link di bawah inisoal un matematika sma 2017 dan pembahasannya pdf. Kamu bisa lho memahami materi dari soal yang akan diujikan di ruangbelajar. Contoh soal un matematika smp dan pembahasannya. Soal latihan dan pembahasan un matematika smk 2017. Soal unbk matematika smp 2019. Jadi kamu bisa belajar dengan mudah dan bisa menghasilkan nilai un yang terbaik.
Soal un biologi sma 2017 dan pembahasannya pdf. Kamu bisa lho memahami materi dari soal yang akan diujikan di ruangbelajar. Contoh soal un matematika smp dan pembahasannya. Dalam artikel sebelumnya kami juga pernah menyajikan contoh soal hots smp untuk mata pelajaran bahasa indonesia, bahasa inggris, ipa dan ips. Berbagi dan belajar pembahasan soal un matematika smp 2018 trik superkilat paket 1.
Soal Un Smp 2018 Dan Pembahasannya Pdf Cara Golden from reader017.fdokumen.com Skala yang digunakan pada denah lantai adalah … a. Kumpulan soal un matematika smp dan pembahasannya walaupun un smp masih lumayan lama namun kali ini kakak akan sajikan contoh soal un matematika smp. Soal un biologi sma 2017 dan pembahasannya pdf. Persiapkan diri kamu lebih awal untuk menghadapi un smp 2020. Soal uas bahasa inggris kelas 9. Kamu bisa lho memahami materi dari soal yang akan diujikan di ruangbelajar. 2 feb 2017 at 5:57 pm … pembahasan un matematika smp 2016 … like like. Berikut terdapat 40 contoh soal un smp yang dapat adik pelajari di rumah.
2232021 contoh soal un matematika smp mempersiapkan diri menghadapi ujian nasional salah satunya adalah mempelajari soal.
2 feb 2017 at 5:57 pm … pembahasan un matematika smp 2016 … like like. Contoh soal un matematika smp dan pembahasannya. Soal latihan dan pembahasan un matematika smk 2017. Untuk lebih memahami materi dan contoh soal tersebut, berikut ini adalah pembahasan dari contoh soal un matematika smp. 2232021 contoh soal un matematika smp mempersiapkan diri menghadapi ujian nasional salah satunya adalah mempelajari soal. Berbagi dan belajar pembahasan soal un matematika smp 2018 trik superkilat paket 1. Soal 12 dan 13 merupakan permasalahan yang serupa dengan dua soal tersebut. Soal un ini terdiri dari paket 1, 2, 3 dan 4 baik untuk matematika program ipa maupun ips di sma dan smk. Pembahasan soal un matematika smp 2012.pdf. Soal un smp kelas 9 mata pelajaran lainnya. Soal dan pembahasan un matematika sma ipa 2016. Bagi siswa smp yang ingin meningkatkan pemahaman tentang materi yang keluar dalam ujian nasional terutama mata pelajaran matematika bisa mempelajari contoh soal un matematika smp beserta. Bangunan kantor dengan ukuran 20 meter × 30 meter.
Soal 12 dan 13 merupakan permasalahan yang serupa dengan dua soal tersebut. Obat sakit diabetes alami says: Berikut terdapat 40 contoh soal un smp yang dapat adik pelajari di rumah. Ujian akhir semester 1 ganjilgasal bagi yang menggunakan kurikulum 2013 disebut dengan pas penilaian akhir semester. Pembahasan soal ujian nasional smp 2017 zenius blog berikut ini adalah file tentang soal un smk matematika dan pembahasannya pdf 2019 yang bisa bapak ibu unduh secara gratis dengan menekan tombol download pada tautan link di bawah inisoal un matematika sma 2017 dan pembahasannya pdf.
Doc2 Pembahasan Soal Un Maternatika Smp 2017 Paket Poc4402 5 Dinas Pendidikan Kabupaten Cirebon Pdf Document from reader020.staticloud.net Soal un ini terdiri dari paket 1, 2, 3 dan 4 baik untuk matematika program ipa maupun ips di sma dan smk. Soal un smp 2017 dan pembahasannya pdf berkas sekolah from 4.bp.blogspot.com pembahasan soal tentang titik koordinat. Soal un matematika sma 2018 berikut ini telah dilengkapi dengan pembahasannya sehingga kamu bisa lebih mudah dalam mempelajarinya. Persiapkan diri kamu lebih awal untuk menghadapi un smp 2020. Ukuran bangunan di denah adalah 40 cm × 60 cm. Pembahasan soal un matematika smp 2012.pdf. Skala yang digunakan pada denah lantai adalah … a. Setelah mengetahui perbedaan un dan unbk, istilah lain yang tidak kalah membingungkan bagi kebanyakan siswa dan wali murid ialah unbk dan usbn.
Bangunan kantor dengan ukuran 20 meter × 30 meter.
Soal un ini terdiri dari paket 1, 2, 3 dan 4 baik untuk matematika program ipa maupun ips di sma dan smk. 3i 65 jam 125 k. Kumpulan soal un matematika smp dan pembahasannya ruang guru. 2 feb 2017 at 5:57 pm … pembahasan un matematika smp 2016 … like like. Soal 12 dan 13 merupakan permasalahan yang serupa dengan dua soal tersebut. Kumpulan soal un matematika sma ipa dan. 2232021 contoh soal un matematika smp mempersiapkan diri menghadapi ujian nasional salah satunya adalah mempelajari soal. Soal un smp kelas 9 mata pelajaran lainnya. Berbagi dan belajar pembahasan soal un matematika smp 2018 trik superkilat paket 1. Soal unbk matematika smp 2019. Soal un matematika smp dan pembahasannya. Skala yang digunakan pada denah lantai adalah … a. Pembahasan soal un biologi sma tahun 2018 blog pak pandani soal un smp 2016 bahasa indonesia dan kunci jawaban guru galeri download soal dan pembahasan un matematika.
Berbagi
Posting Komentar
untuk "Soal Un Matematika Smp 2017 Dan Pembahasannya / Soal Un Ipa Smp 2017 Dan Pembahasannya Jawabanku Id - Soal un biologi sma 2017 dan pembahasannya pdf."
Posting Komentar untuk "Soal Un Matematika Smp 2017 Dan Pembahasannya / Soal Un Ipa Smp 2017 Dan Pembahasannya Jawabanku Id - Soal un biologi sma 2017 dan pembahasannya pdf."